Чтение онлайн

на главную - закладки

Жанры

Шрифт:

Закон нормального распределения (закон Гаусса). Практика неуклонно подтверждает, что закону Гаусса с достаточным приближением подчиняются законы распределения ошибок при измерениях самых различных параметров: от линейных и угловых размеров до характеристик основных механических свойств стали.

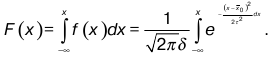
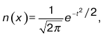
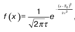
Плотность вероятности закона нормального распределения (в дальнейшем Н. Р.) имеет вид

где x0 – среднее значение случайной величины;

– среднее квадратическое отклонение той же случайной величины;

e = 2,1783… – основание натурального логарифма;

Ж – параметр, который удовлетворяет условию.

Причина широкого применения закона нормального распределения теоретически определяется теоремой Ляпунова.

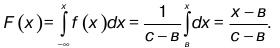
При известных Х0 и ординаты кривой функции f(x) можно вычислить по формуле

где t – нормированная переменная,

(t) плотность вероятности z. Если подставить z и (t) в формулу, то следует:

Кривую З.Н.Р. часто называют кривой Гаусса, этот закон описывает очень многие явления в природе.

10. Биноминальный и полиноминальный законы распределения. Равновероятное распределение. Закон распределения эксцентриситета

1. Биноминальный закон распределения. Этот закон математически выражается формулой разложения бинома (q + p)2 в следующем виде

где n! – читается как n-факториал,

Cnm – биноминальный коэффициент, выражающий количество сочетаний из n элементов по m, причем, n – положительное целое число.

2. Полиномиальный закон распределения (П/З/Р). В предыдущем случае рассмотрено два исхода появления случайного события А: или оно появится с вероятностью р, или не появится с вероятностью q = 1 – p.

Когда количество независимых испытаний равно n, то велика вероятность того, что каждое событие Vi произойдет n раз, где i =1, 2,..., k. Причем 

 определяется формулой

В виде формулы (58) получен искомый полиномиальный полиноминальный закон распределения.

3. Равновероятное распределение. Рассматривая вышеприведенные законы распределения случайной величины, пришлось подчеркнуть различия в их проявлении при условиях: прерывно ли распределение случайных величин или непрерывно?

Другое название этого закона – равномерное, или прямоугольное распределение, несет в себе больше информации о кривой этого закона. Вероятность наступления случайного события А на рассматриваемом промежутке одинакова в любой точке из промежутка[в; с]. Для Р/Р плотность

где в, с – параметры З/Р/Р.

Функция распределения для З/Р/Р имеет вид:

11. Другие законы распределения

В технической промышленности, в том числе приборостроении, применяются некоторые другие виды законов распределения, кроме вышерассмотренных. При этом распределение случайных величин идет уже по самым разнообразным их параметрам. Приведем краткое изложение еще трех законов распределения случайной величины.

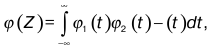
1. Композиция законов распределения, так называют закон распределения суммы случайных величин, причем слагаемые суммы заданы предварительно.

Если рассмотреть случайную переменную Ж = X + Y, где X и Y имеют соответствующие плотности вероятности и независимы, то плотность вероятности Z

где t выступает как переменная интеграции. Замечено: какому закону распределения следуют X и Y, тому же следует Z.

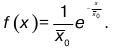
2. Экспоненциальный закон распределения. Этому закону распределения следуют случайные величины, удовлетворяющие условию. Его плотность вероятности

Функция распределения

В формулах xo – среднее значение случайной величины.

Этот закон находит применение при исследовании самых разнообразных вопросов в средствах автоматики, в производстве радиоэлектронной аппаратуры. Например, для определения вероятности безотказной работы в течение времени X > x.

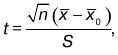
3. Закон распределения Стьюдента. Этот закон представляет интерес, если число выборок n < 30, при n > 30 он переходит в нормальный закон распределения. Закон имеет следующий вид:

где n – объем выборки,

t – случайная переменная.

Из-за ее сложного вида не приводим формулу для плотности вероятности , отметим только, что функция является четной и ее кривая симметрична относительно оси ординат. Функция распределения этого закона имеет следующий вид:

Формула читается так: вероятность того, что случайная переменная t примет значение меньше заданного t0, есть интеграл от плотности этой вероятности (t).

12. Взаимозаменяемость как важнейший конструкторский принцип в приборостроении

Современное приборостроение развивается в направлении все большего вторжения радиоэлектронной аппаратуры в машиностроение. Удобно объяснить роль взаимозаменяемости на примере электронного приборостроения. Ясно, что совокупно различные радиоэлектронные аппараты состоят практически из одних и тех же радиоэлектронных деталей, как и различные слова, предложения, текст самой этой книги состоят из одних и тех же букв.

Поделиться:
Популярные книги

Слово мастера

Лисина Александра
11. Гибрид
Фантастика:
попаданцы
аниме
5.00
рейтинг книги
Слово мастера

Олд мани

Голд Яна
Любовные романы:
современные любовные романы
остросюжетные любовные романы
фемслеш
5.00
рейтинг книги
Олд мани

Неудержимый. Книга XXVII

Боярский Андрей
27. Неудержимый
Фантастика:
фэнтези
попаданцы
5.00
рейтинг книги
Неудержимый. Книга XXVII

Неправильный лекарь. Том 2

Измайлов Сергей
2. Неправильный лекарь
Фантастика:
городское фэнтези
аниме
фэнтези
попаданцы
5.00
рейтинг книги
Неправильный лекарь. Том 2

Воин

Бубела Олег Николаевич
2. Совсем не герой
Фантастика:
фэнтези
попаданцы
9.25
рейтинг книги
Воин

Антимаг его величества. Том II

Петров Максим Николаевич
2. Модификант
Фантастика:
фэнтези
попаданцы
аниме
5.00
рейтинг книги
Антимаг его величества. Том II

Отряд

Валериев Игорь
5. Ермак
Фантастика:
альтернативная история
5.25
рейтинг книги
Отряд

Московское золото или нежная попа комсомолки. Часть Вторая

Хренов Алексей
2. Летчик Леха
Фантастика:
попаданцы
5.00
рейтинг книги
Московское золото или нежная попа комсомолки. Часть Вторая

Газлайтер. Том 8

Володин Григорий
8. История Телепата
Фантастика:
попаданцы
альтернативная история
аниме
5.00
рейтинг книги
Газлайтер. Том 8

Кадет Морозов

Шелег Дмитрий Витальевич
4. Живой лёд
Фантастика:
боевая фантастика
5.72
рейтинг книги
Кадет Морозов

Законы Рода. Том 4

Андрей Мельник
4. Граф Берестьев
Фантастика:
юмористическое фэнтези
аниме
5.00
рейтинг книги
Законы Рода. Том 4

Шайтан Иван 6

Тен Эдуард
6. Шайтан Иван
Фантастика:
попаданцы
альтернативная история
историческое фэнтези
7.00
рейтинг книги
Шайтан Иван 6

#Бояръ-Аниме. Газлайтер. Том 24

Володин Григорий Григорьевич
24. История Телепата
Фантастика:
боевая фантастика
попаданцы
аниме
5.00
рейтинг книги
#Бояръ-Аниме. Газлайтер. Том 24

Вперед в прошлое 12

Ратманов Денис
12. Вперед в прошлое
Фантастика:
попаданцы
5.00
рейтинг книги
Вперед в прошлое 12