Чтение онлайн

на главную - закладки

Жанры

Шрифт:

Такие расходомеры называют ротаметрами.

Существуют еще электромагнитные, ультразвуковые, ионизационные, тепловые, массовые и другие виды расходомеров, работающие по разным принципам. Среди них особо следует выделить расходомеры с ядерно-магнитным резонансом: малая инерционность, отсутствие других устройств в трубопроводе, линейность шкалы, широкий диапазон (20: 1) измерений.

Однако ядерно-магнитный резонанс требует наличия сильного магнитного поля. Поэтому их невозможно применять для измерения расходов в трубопроводах с малым диапазоном. С этой точки зрения их можно относить к той же группе, что и дифманометры – расходомеры.

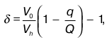
Поверх всех расходометров, проводят относительные погрешности, сравнивая и настраивая их с эталонными.

где <= 0,1–1; V – измерительный объем жидкости; V0объем жидкости, соответствующее одному обороту стрелки; h – количество V0 в объеме V: столько же движется стрелка V0, отсчитывая Q – количество расхода расходометров; q – потери расхода.

Работа с этими расходомерами требует установки предварительного фильтра.

Из-за разных динамических вязкостей 1 и 2 жидкостей, их погрешности по измерению объема 1 и 2, связаны между собой как:

где C – постоянная счетчика; – перепад давления, где

все параметры в скобке безразмерны; d, G – диаметр и вес рабочего органа счетчика; – кинематическая вязкость жидкости; Cp – теплоемкость жидкости; – теплопроводность жидкости.

54. Проектирование систем контроля и автоматического регулирования

Системы контроля и автоматического регулирования, конечным результатом которых являются сегодня орбитальные космические станции, межпланетные орбитальные станции, годами находящиеся на расстоянии сотни тысяч километров, являются высшим полетом современной инженерной мысли. Все это всего лишь каких-то 40–50 лет назад было мечтой всего человечества. Чтобы реализовать эти достижения, пришлось разработать, спроектировать более сложные средства, используя уже имеющиеся. В нашей последней заключительной лекции попробуем разобраться с вопросами проектирования средств автоматического регулирования и контроля. Из выше изложенного уже ясно, что основной задачей проектирования является:

1) разработка схемы;

2) обеспечение выбора аппаратуры для технологического контроля при производстве;

3) оформление принятых решений в виде технической документации, соответствующей ГОСТ.

В задачу проектирования входят вопросы, которые должны обеспечить проектные материалы; выяснить, каким методом произвести монтаж САР и контроля промышленным способом; каков ожидаемый эффект от выбранного способа выполнения заказа.

Если за советом и примером обращаться к природе, то увидим: жизнеспособны и долговечны только те материальные, в том числе биологические, системы, которые расходуют наименьшее количество энергии. Другими словами, чем менее энергоемка система, тем она более долговечна и живуча.

Мы изложили универсальный закон природы, который проявляет себя во всех сферах жизни как один из основных. Применительно к рассматриваемому нами вопросу, из этого закона следует, что производство изделий должно обойтись предприятию с наименьшими затратами. Для этого количество приборов должно быть, как можно, меньше: нестандартные средства для данного проекта могут быть допущены только после тщательной проработки (как теоретически, так и экспериментально). Даже в этом случае предпочтение должно быть отдано тем специальным элементам и узлам, которые уже выпускаются или выпускались серийно на данном предприятии. Необходимо думать не только о наименьшем количестве затрат при производстве, но и о надежности последующей эксплуатации, вопрос гарантийного обслуживания и ремонта выпускаемых изделий также является вопросом себестоимости, а самое главное, вопросом престижа предприятия; монтаж электропроводных линий и родственных конструкций, как правило, составляет 80 % объема всех монтажных работ. Поэтому удачный выбор монтажа имеет большое значение. Обеспечение реализации выбранного проекта наиболее рациональными, простыми и дешевыми способами является не только производственной, но и общегосударственной задачей, с точки зрения обеспечения произведенными САР и контроля не только технологических процессов, но и систем обеспечения в структурах безопасности.

55. Проектная документация

Проектная документация, которая является итогом проектирования САР и контроля, как правило, состоит из двух частей.

1. На стадии «задание на проектирование» изучаются вопросы, связанные с самим объектом; вопросы основных характеристик технологии и технологических установок; изучаются коммуникационные схемы; чертежи необходимого оборудования, требуемых помещений и т. д.

Должны быть исчерпывающе выяснены вопросы, связанные с качественными показателями, такие, как допуск, точность, другие вопросы, связанные с разбросом необходимых параметров.

Кроме вышеперечисленных, самым сложным и ответственным вопросом являются проблемы оперативного управления производством с применением САР. Для успешного выбора схемы производства при выполнении задания на проектирование должны быть привлечены специалисты непосредственно из технологического процесса.

2. (Следующая стадия – проектное задание. На этой стадии проектируются и оформляются в специальной технологической документации следующие вопросы: структурные схемы управления автоматизируемым объектом; принципиальная схема контроля и автоматизации; заявочные ведомости (на регуляторы, электрооборудование, кабели, провода, трубы и пр.).

Рабочие чертежи – это вторая часть проектной документации. После завершения первой части все принятые решения переносятся на бумагу в виде чертежей, после чего оформляется техническая документация. Какие требования предъявляются к рабочим чертежам? В них должен быть исчерпывающий ответ на вопросы, связанные с производством данного изделия. Кроме всего прочего, они служат основой для заявочных ведомостей.

Пояснительная записка. Этим документом завершается проектирование САР. Она должна быть составлена как можно более кратко, но должна содержать самую конкретную информацию: никаких второсте-пенностей, повторений и ненужных подробностей. Пояснительная записка содержит перечень материалов, информацию о технологии производства и основных характеристиках объекта, другие основные требования, но ни в коем случае не математические выкладки. В пояснительную записку могут быть включены различные приложения, содержащие самую разнообразную информацию, например, о перечне необходимых исследовательских и экспериментальных работ. Проектная документация включает в себя документы о спецификации и о сметно-финансовых расчетах. Рассмотрим еще один вопрос, вопрос о методике выбора аппаратуры; хотя этот вопрос не входит в проектирование, но играет чрезвычайно важную роль для реализации требований, вытекающих из задания на проектирование. Очевидно, что речь идет о критерии, на основе которого делается выбор.

56. Предпосылки успешного развития современного отечественного приборостроения. Основные тенденции в развитии приборостроения

Всего 20 лет назад о современном уровне компьютеризации страны можно было только мечтать, сегодня все это реальность. В связи со всеми этими новшествами сам собой возникает вопрос: в каком направлении развивается приборостроение? Что за горизонтом? В каком направлении будет развиваться отечественное приборостроение? Во-первых, приходится отметить, что отечественное приборостроение как составная часть машинострое-ния до сих пор занимает одну из первых позиций в мире. Наши студенты продолжают побеждать на самых престижных международных олимпиадах. Получение в 2000-м году академиком Алферовым Нобелевской премии явилось признанием российской науки международным научным сообществом. В настоящее время наука поддерживается государством на самом высоком уровне, лично Президентом страны. Наряду с прежними направлениями (космос, медицина, фундаментальная атомная и ядерная физика), российские ученые вышли вперед в области высоких технологий, нанотех-нологий. Сегодня, достигнут предел: погрешности в приборах стали сравнимыми с размерами атомов – это 1 А°, то есть 10– 8 см. Что будет следующим наиточнейшим эталоном погрешности? Может быть, период полураспада какого-то только что открытого химического элемента? Очень даже может быть. Сегодня науке известно уже более ста элементов. Долгожителями из новых элементов являются «тяжелые», но даже они живут в течение доли секунды. Но уже начиная со 105-го элемента, вещества делятся с такой скоростью, которую ни один современный прибор измерять не может: не существует приборов с такой точностью. Вот куда, во-первых, идет приборостроение. Этот фактор настоятельно требует – уже сегодня нужно начинать преподавать в средних школах, специальных учебных заведениях, вузах основы микро-и наноэлектроники, как и основы ВТ. И естественно, зададимся вопросом: что дальше? То есть вычислительная техника на наших глазах внесла значительный вклад в эволюцию человечества. К чему приведет, с этой точки зрения, бурное развитие нанотехнологий? Это во-вторых. В-третьих, проблемы передачи сигнала на расстояние без искажений и без потерь все же остаются актуальными. Четвертое направление – проблема источников питания, связи с дальнейшей миниатюризацией РЭА. Требуются новые адекватные источники питания. Пятое. Сегодня скорость света является базовой для точности измерения многих параметров. Остается ли она такой же? На свете вышеуказанных проблем приборостроения, не исключено, что появится новый эталон в измерениях: может быть, им станет какой-то параметр одной из элементарных частиц. Шестое. Это проблема самой электроники, проблемы сверхпроводимости. А это вопросы управления и эксплуатации низкотемпературной плазмы. Отрадно, что отечественное приборостроение уже сегодня является флагманом не только в отрасли приборостроения. Задача сегодняшнего студенчества – продолжать славные традиции советскороссийской науки и техники.

Поделиться:
Популярные книги

Метатель

Тарасов Ник
1. Метатель
Фантастика:
боевая фантастика
попаданцы
рпг
фэнтези
фантастика: прочее
постапокалипсис
5.00
рейтинг книги
Метатель

Чехов

Гоблин (MeXXanik)
1. Адвокат Чехов
Фантастика:
фэнтези
боевая фантастика
альтернативная история
5.00
рейтинг книги
Чехов

Зодчий. Книга II

Погуляй Юрий Александрович
2. Зодчий Империи
Фантастика:
аниме
фэнтези
попаданцы
5.00
рейтинг книги
Зодчий. Книга II

Звездная Кровь. Изгой II

Елисеев Алексей Станиславович
2. Звездная Кровь. Изгой
Фантастика:
боевая фантастика
попаданцы
технофэнтези
рпг
5.00
рейтинг книги
Звездная Кровь. Изгой II

Кодекс Охотника. Книга XXV

Винокуров Юрий
25. Кодекс Охотника
Фантастика:
фэнтези
попаданцы
аниме
6.25
рейтинг книги
Кодекс Охотника. Книга XXV

Стажер

Хонихоев Виталий
Фантастика:
боевая фантастика
космическая фантастика
5.00
рейтинг книги
Стажер

Кодекс Охотника. Книга V

Винокуров Юрий
5. Кодекс Охотника
Фантастика:
фэнтези
попаданцы
аниме
4.50
рейтинг книги
Кодекс Охотника. Книга V

Кодекс Крови. Книга ХIV

Борзых М.
14. РОС: Кодекс Крови
Фантастика:
попаданцы
аниме
фэнтези
5.00
рейтинг книги
Кодекс Крови. Книга ХIV

Чужое наследие

Кораблев Родион
3. Другая сторона
Фантастика:
боевая фантастика
8.47
рейтинг книги
Чужое наследие

Гримуар темного лорда IV

Грехов Тимофей
4. Гримуар темного лорда
Фантастика:
фэнтези
боевая фантастика
попаданцы
аниме
5.00
рейтинг книги
Гримуар темного лорда IV

Двойник короля 19

Скабер Артемий
19. Двойник Короля
Фантастика:
аниме
фэнтези
попаданцы
5.00
рейтинг книги
Двойник короля 19

Двойник короля 15

Скабер Артемий
15. Двойник Короля
Фантастика:
аниме
фэнтези
попаданцы
5.00
рейтинг книги
Двойник короля 15

Наследник хочет в отпуск

Тарс Элиан
5. Десять Принцев Российской Империи
Фантастика:
городское фэнтези
попаданцы
аниме
5.00
рейтинг книги
Наследник хочет в отпуск

Барон Дубов 8

Карелин Сергей Витальевич
8. Его Дубейшество
Фантастика:
юмористическое фэнтези
аниме
сказочная фантастика
фэнтези
5.00
рейтинг книги
Барон Дубов 8