Чтение онлайн

на главную - закладки

Жанры

Шрифт:

Второй визит состоялся на подразделение фирмы Stork Fokker под Роттердамом. Здесь производят современный композитный материал Glare, используемый при изготовлении обшивки фюзеляжа суперсовременного аэробуса А-380.

Участникам форума была дана возможность посетить завод бельгийской компании Belgian Air Base Bierset (Маастрихт расположен в пяти километрах от границы с Бельгией), на котором производятся тренажеры вертолетов.

От России на форуме было представлено два доклада: от Фонда М.Л. Миля доклад на тему «Тяжелый вертолет Ми-6 в дневниках М.Л. Миля» (авторы Н. Миль и Е. Миль), от фирмы «Камов» — на тему «Результаты численного моделирования аэродинамики несущего винта» (В. Аникин и Д. Коломенский).

В состав делегации из Казани вошли заместитель генерального директора КВЗ В.Б. Карташев, директор института авиационной техники и технологий КГТУ им. А.Н. Туполева С.А. Михайлов и начальник бюро переводов КВЗ Э.Н. Кузенкова.

К городу на Волге на форуме был проявлен особый интерес: следующий 33-й Европейский вертолетный форум пройдет именно здесь. Выбор Казани — не случаен. Это признание не только заслуг России, но и вклада Казанского вертолетного завода в развитие вертолетостроения. Первые вертолеты марки «Ми» начали производиться в Казани в начале 50-х. Надежность и высокие эксплуатационные свойства винтокрылых машин, вышедших из сборочного цеха КВЗ, сегодня известны более чем в 80 странах мира. Казанский завод один из немногих в мире успешно совмещает в себе и производителя, и разработчика авиатехники. Новый легкий вертолет «Ансат» уже поступает к заказчикам, на очереди — вертолет «Актай». Казанский вертолетный завод успешно реализует и программу создания и постановки на серийное производство вертолета нового поколения Ми-38. Все это, безусловно, привлекает внимание европейской вертолетостроительной общественности к столице Татарстана.

Член международного комитета, представитель фирмы Eurocopter Иен Фавенес

Прием участников форума в городской ратуше Маастрихта

На заключительном заседании форума в Маастрихте В.Б. Карташев как представитель комитета по организации встречи вертолетчиков Европы в Казани подтвердил готовность города к приему гостей на самом высоком уровне. Торжественная передача символа форума — знаменитой «Стрекозы» прошла в Бельгии, в красивейшем местечке под названием La Butter Mux Bois.

Кстати, у нас на Волге есть места не хуже. Так что нам есть и что рассказать, и что показать западным коллегам.

Сергей МИХАЙЛОВ, профессор КГТУ им. А.Н. Туполева

П Р О Е К Т И Р О В А Н И Е

Метод энергий и метод мощностей

Предлагаем вниманию читателей журнала статью заслуженного деятеля науки РФ, лауреата Государственной премии, ведущего специалиста МВЗ имени М.Л. Миля Александра Самойловича БРАВЕРМАНА. В ней приводятся сведения о двух методах, использующихся при расчете посадочных траекторий вертолета: методе энергий и методе мощностей.

Метод энергий

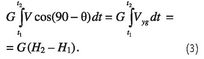
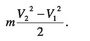
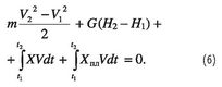
Предпосадочный маневр вертолета выполняется, в основном, по прямолинейной траектории. И в начале, и в конце этого маневра угловые скорости вертолета практически равны нулю. Поэтому при расчете траектории посадки используется теорема кинетической энергии материальной точки, гласящая: изменение кинетической энергии равно работе внешних сил, действующих на точку:

где m — масса вертолета; V — скорость полета; А — работа внешних сил на рассматриваемом участке траектории, равная

В приведенных формулах индексом 1 отмечены скорость V и время t в начале рассматриваемого участка траектории, а индексом 2 — в конце участка. Сила сопротивления несущего винта X (X > 0, когда сила направлена назад) и сила сопротивления планера вертолета X, скорость и время, не отмеченные индексом, — это текущие значения этих величин при движении на рассматриваемом участке траектории. Для простоты сила тяжести G отнесена к внешним силам.

Работа отрицательна, так как проекция вектора силы тяжести на вектор скорости V (рис. 1), а также силы X и X пл не совпадают с направлением движения. Но при снижении вертолета (угол 0 отрицателен) проекция силы G совпадает с направлением движения и ее работа положительна. То же имеет место с силой X: при подаче на винт достаточной мощности сила X становится пропульсивной, направленной вперед.

Работа силы тяжести, являющаяся потенциальной энергией вертолета, равна

Здесь и ниже индексом g отмечаются обозначения в земной системе координат.

Приведем уравнения движения вертолета в скоростной системе координат:

Теорема (1) следует из уравнения (4). Действительно, если умножить обе его части на скорость полета V, то слагаемое mV(dV/dt) в интеграле дает изменение кинетической энергии вертолета:

При снижении в каждый момент времени элементарная работа отрицательна: сумма сил сопротивления винта и планера превосходит проекцию силы тяжести.

По уравнениям движения находятся граничные значения сил X и Y. Например, в момент посадки желательно иметь: V yg =-2,5 м/с, V=50 км/ч, dV/dt=-0,5 м/с^2, d/dt=0…0,05 1/с. Силы X пл и Y пл допустимо определять при угле атаки 15°. В начале предпосадочного маневра X и Y известны из аэродинамического расчета на режиме планирования. Окружная скорость несущего винта R в момент посадки определяется из формулы Y~T=(0,95.1,05)G=(C т/)F(R)^2/2 при коэффициенте C т/, соответствующем шагу лопастей в момент посадки. Промежуточные значения X, Y и окружная скорость несущего винта находятся подбором (последовательными приближениями).

Рис. 1. Силы, действующие на вертолет

На режиме авторотации при выборе величин сил X и Y может использоваться соотношение X=Y/K. Оно полезно, так как качество несущего винта K практически не зависит от коэффициента тяги винта C т/, а только от отношений V/R и R/ (где — скорость звука), но оно не может использоваться при малых скоростях полета и больших углах наклона траектории. При вертикальной траектории Y=0, K=0 и это соотношение бесполезно.

Таким образом, уравнение, выражающее баланс энергий вертолета, имеет вид

При расчетах целесообразно задаваться временем t = t 2– t 1изменения скорости от V 1до V 2, а по уравнению баланса энергий находить изменение высоты полета за время маневра. При посадках вертолета H 2=0, V 2— посадочная скорость; ее горизонтальная и вертикальная составляющие равны:

Из литературы по аэродинамике несущего винта известно выражение

Поделиться:
Популярные книги

Искатель 2

Шиленко Сергей
2. Валинор
Фантастика:
фэнтези
попаданцы
рпг
5.00
рейтинг книги
Искатель 2

Ты - наша

Зайцева Мария
1. Наша
Любовные романы:
современные любовные романы
эро литература
5.00
рейтинг книги
Ты - наша

Наемный корпус

Вайс Александр
5. Фронтир
Фантастика:
боевая фантастика
космическая фантастика
космоопера
5.00
рейтинг книги
Наемный корпус

Последний Паладин. Том 11

Саваровский Роман
11. Путь Паладина
Фантастика:
попаданцы
аниме
фэнтези
5.00
рейтинг книги
Последний Паладин. Том 11

Студент из прошлого тысячелетия

Еслер Андрей
2. Соприкосновение миров
Фантастика:
героическая фантастика
попаданцы
аниме
5.00
рейтинг книги
Студент из прошлого тысячелетия

Я – Легенда

Гарцевич Евгений Александрович
1. Я - Легенда!
Фантастика:
боевая фантастика
попаданцы
рпг
фантастика: прочее
5.00
рейтинг книги
Я – Легенда

Двойник короля 14

Скабер Артемий
14. Двойник Короля
Фантастика:
аниме
фэнтези
попаданцы
5.00
рейтинг книги
Двойник короля 14

Кодекс Охотника XXVIII

Винокуров Юрий
28. Кодекс Охотника
Фантастика:
фэнтези
боевая фантастика
попаданцы
5.00
рейтинг книги
Кодекс Охотника XXVIII

Дитя прибоя

Трофимов Ерофей
Дитя прибоя
Фантастика:
боевая фантастика
попаданцы
фэнтези
5.00
рейтинг книги
Дитя прибоя

Тринадцатый XII

NikL
12. Видящий смерть
Фантастика:
попаданцы
аниме
фэнтези
фантастика: прочее
7.00
рейтинг книги
Тринадцатый XII

Неудержимый. Книга XXIX

Боярский Андрей
29. Неудержимый
Фантастика:
попаданцы
аниме
фэнтези
фантастика: прочее
5.00
рейтинг книги
Неудержимый. Книга XXIX

Последний Герой. Том 5

Дамиров Рафаэль
5. Последний герой
Фантастика:
попаданцы
альтернативная история
5.00
рейтинг книги
Последний Герой. Том 5

Сокрушитель

Поселягин Владимир Геннадьевич
3. Уникум
Фантастика:
боевая фантастика
5.60
рейтинг книги
Сокрушитель

Сильнейший Столп Империи. Книга 5

Ермоленков Алексей
5. Сильнейший Столп Империи
Фантастика:
аниме
фэнтези
фантастика: прочее
попаданцы
5.00
рейтинг книги
Сильнейший Столп Империи. Книга 5