Чтение онлайн

на главную - закладки

Жанры

Шрифт:

Государственное регулирование цен распространяется только на сельскохозяйственную продукцию, закупаемую для государственных нужд, – она также реализуется сельскохозяйственными производителями по свободным ценам, но их уровень не может быть ниже ежегодно устанавливаемых государством гарантированных закупочных цен, дифференцированных по регионам России.

Оптовая торговля представляет собой деятельность по закупке, хранению и перепродаже товаров, продукции, сырья крупными партиями другим предприятиям (производителям, оптовым предприятиям, предприятиям розничной торговли, общественного питания и т. д.). В сфере оптовой торговли товары и продукция реализуются по ценам, называемым на практике ценами закупки. Цена закупки состоит из цены приобретения товара (отпускной, оптовой или цены закупки другого предприятия оптовой торговли) без налога на добавленную стоимость, снабженческо-сбытовой (оптовой) надбавки (Сн. Сб.) и налога на добавленную стоимость, включенного в цену в оптовом звене (НДС опт) (2.3):

Цзак = Цпр без НДС + Сн.сб. + НДСопт

Розничная торговля занимается реализацией товаров непосредственно населению или предприятиям за наличный расчет. Розничные– это цены, по которым продаются товары в розничной торговой сети в условиях продажи индивидуальным покупателям при относительно небольшом объеме каждой продажи.

В результате розничной торговли товар выбывает из сферы обращения и потребляется в домашнем хозяйстве или производстве.

Состав розничной цены зависит от того, через какие каналы товародвижения товар попадает в предприятие розничной торговли.

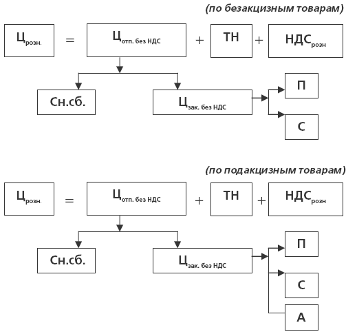
Если товар приобретается у предприятия-изготовителя, то розничная цена имеет следующий вид (рис. 2):

Рис. 2. Состав розничной цены при покупке у производителей:

ТН – сумма торговой надбавки; НДСрозн – сумма НДС, включаемая в цену в розничный торговле.

Если товар приобретается у снабженческо-сбытовых (оптовых) предприятий, то структура цены представлена на рис. 3:

Рис. 3. Состав розничной цены при оптовой продаже

Если товар приобретен у сельскохозяйственного производителя, то розничная цена представлена в виде (2.4)

Ц розн = Ц закуп без НДС + ТН + НДС розн,

где Цзакупзакупочная цена.

Разновидностью розничной цены является цена на продукцию общественного (массового) питания. Вместо торговой надбавки используется показатель наценка общественного питания, которая прибавляется к стоимости сырьевого набора блюда или продукции без НДС.

Определенной спецификой обладают цены на бытовые услуги, оказываемые населению. Эти цены называются тарифами (расценками) на платные услуги. При оказании услуг не создается продукт в материально-вещественной форме, но изменяется качество имеющегося продукта, а производство услуги совпадает с началом ее потребления. При определении тарифов на услуги учитывают не только объем производимой работы, но и ее качество, временной фактор (см. подробнее: Шевчук Д. А. Экономика организации: Конспект лекций. – Ростов-на-Дону: Феникс, 2007).

Цены (тарифы) на платные услуги для населения формируются исходя из себестоимости услуги, прибыли и налога на добавленную стоимость.

Тарифы на перевозки представляют собой плату за перемещение грузов и пассажиров, взимаемую транспортными организациями с отправителей грузов и населения. Большинство транспортных тарифов являются регулируемыми.

Цены на строительную продукцию подразделяются на три вида:

Сметная стоимость– предельный размер затрат на строительство объекта.

Прейскурантная цена– усредненная сметная стоимость единицы конечной продукции строительного объекта (1 м2 площади, 1 м2 работ и т. д.).

Договорная цена– цена, устанавливаемая по соглашению между заказчиком и подрядчиком.

В настоящее время широко распространены договорные цены, учитывающие не только прейскурантную стоимость производимых работ и фактическую себестоимость строительных материалов, но и временной фактор, месторасположение объекта. Цена на строительную продукцию формируется так же, как и в других отраслях, с учетом себестоимости, прибыли и налога на добавленную стоимость.

Рассмотренные виды цен могут быть свободными или регулируемыми. Это зависит от политики государства в области ценообразования и принятых законодательных и нормативных актов.

Закупочные, оптовые, отпускные цены и цены закупки на отечественные товары, продукцию устанавливаются по согласованию сторон, которое отражается в протоколах согласования цен, заключенных договорах или в других документах, подтверждающих согласие покупателя с уровнем цены (телефонограмма, факс, телекс и т. д.).

2.5. Виды цен в зависимости от способа согласования и фиксации

В рыночных условиях постоянно происходит изменение конъюнктуры рынка, условий производства, и при заключении контрактов, договоров между производителями, продавцами и покупателями используют различные способы согласования и фиксации цен.

Во взаимоотношениях сторон могут применяться следующие виды цен:

твердые (постоянные) цены устанавливаются в момент подписания контракта и не подлежат изменению в течение срока его действия. Как правило, такие цены применяются при немедленных поставках или поставках в краткосрочный период. При заключении контрактов на длительный срок в нем обязательно делается оговорка: «Цена твердая, изменению не подлежит»;

подвижная цена – это цена, которая фиксируется в контракте на момент его подписания, но при этом предусматривается ее изменение к моменту исполнения контракта, если изменится рыночная цена, называемая «оговорка о повышении или понижении цены», которая в обязательном порядке вносится в контракт. Обычно оговаривается, что при отклонении рыночной цены от зафиксированной в контракте менее чем на 5 % пересмотр цены не производится. При установлении подвижной цены в контрактах также указывается источник информации, по которому можно судить об изменении рыночной цены. Эти цены применяются при долгосрочных взаимоотношениях;

Поделиться:
Популярные книги

Ненужная жена. Хозяйка брошенного сада

Князева Алиса
1. нужные хозяйки
Фантастика:
попаданцы
фэнтези
5.00
рейтинг книги
Ненужная жена. Хозяйка брошенного сада

Лекарь Империи 4

Карелин Сергей Витальевич
4. Лекарь Империи
Фантастика:
городское фэнтези
аниме
попаданцы
5.00
рейтинг книги
Лекарь Империи 4

#Бояръ-Аниме. Газлайтер. Том 13

Володин Григорий Григорьевич
13. История Телепата
Фантастика:
боевая фантастика
аниме
попаданцы
фэнтези
5.00
рейтинг книги
#Бояръ-Аниме. Газлайтер. Том 13

Дитя прибоя

Трофимов Ерофей
Дитя прибоя
Фантастика:
боевая фантастика
попаданцы
фэнтези
5.00
рейтинг книги
Дитя прибоя

Мастер 9

Чащин Валерий
9. Мастер
Фантастика:
боевая фантастика
попаданцы
технофэнтези
аниме
фэнтези
5.00
рейтинг книги
Мастер 9

Закрытые Миры

Муравьёв Константин Николаевич
Вселенная EVE Online
Фантастика:
фэнтези
5.86
рейтинг книги
Закрытые Миры

Московское золото и нежная попа комсомолки. Часть Четвертая

Хренов Алексей
4. Летчик Леха
Фантастика:
попаданцы
альтернативная история
5.00
рейтинг книги
Московское золото и нежная попа комсомолки. Часть Четвертая

Двойник короля 13

Скабер Артемий
13. Двойник Короля
Фантастика:
аниме
фэнтези
попаданцы
5.00
рейтинг книги
Двойник короля 13

Искатель 7

Шиленко Сергей
7. Валинор
Фантастика:
рпг
фэнтези
попаданцы
гаремник
5.00
рейтинг книги
Искатель 7

Я уже царь. Книга XXIX

Дрейк Сириус
29. Дорогой барон!
Фантастика:
юмористическое фэнтези
аниме
попаданцы
5.00
рейтинг книги
Я уже царь. Книга XXIX

Ты - наша

Зайцева Мария
1. Наша
Любовные романы:
современные любовные романы
эро литература
5.00
рейтинг книги
Ты - наша

Вперед в прошлое 10

Ратманов Денис
10. Вперед в прошлое
Фантастика:
попаданцы
альтернативная история
5.00
рейтинг книги
Вперед в прошлое 10

Бомбардировщики. Полная трилогия

Максимушкин Андрей Владимирович
Фантастика:
альтернативная история
6.89
рейтинг книги
Бомбардировщики. Полная трилогия

Газлайтер. Том 22

Володин Григорий Григорьевич
22. История Телепата
Фантастика:
боевая фантастика
попаданцы
фэнтези
5.00
рейтинг книги
Газлайтер. Том 22